Image
In a time when public trust hinges on transparency, accountability, and ethical leadership, the conversations that shape our civic landscape deserve scrutiny—not secrecy.
Today, we release an audio recording between the executive directors of two prominent local organizations: the Alamogordo Chamber of Commerce and Alamogordo MainStreet. The recording was made in New Mexico, a one-party consent state, meaning it was legally captured with the knowledge of one participant. This fact alone affirms its lawful status. But legality is only the beginning.
The recording was not provided by the Alamogordo MainStreet organization nor the Alamogordo Chamber of Commerce, nor by any former board members to the AlamogordoTownNews.org, but by a source and information procured via public records requests. IPRA requests are a routine source of information gathered from the City of Alamogordo and public entities by our news agency per state and federal sunshine transparency laws.
We believe the public has a right to hear how issues are handled and addressed behind closed doors—especially when those decisions influence economic development, donations, and community representation.
The voices in this recording are not private citizens; they are stewards of public-facing institutions (who receive local governement funding), thus the words of these leaders carry weight in shaping policy, perception, and opportunity.
This release is not an act of provocation. It is an invitation: to listen, to reflect, and to engage.
We urge our community to consider not just what was said in their very own words, but what it reveals about the values, priorities, and power structures that guide our civic life.
Under New Mexico law, a news organization can legally release an audio recording if at least one party to the conversation consented to or was aware of the recording. New Mexico is a one-party consent
state under its wiretapping and recording laws (N.M. Stat. § 30-12-1). This means:
If one person involved in the conversation knew about or consented to the recording, it is lawful—even if the other party did not know.
This applies to both in-person and electronic communications, including phone calls and face-to-face meetings.
New Mexico recording law stipulates that it is a one-party consent state. In New Mexico, it is a criminal offense to use any device to record, obtain, share or use wire communications without the consent of at least one person taking part in the conversation. This means that in New Mexico, you are legally allowed to record a wire conversation if you are a contributor, or with prior consent from one of the involved parties. This state does not require consent to record oral communication. N.M. Stat. Ann. § 30-12-1 (West 2012).
Key Legal Points:
One-party consent: New Mexico law (N.M. Stat. Ann. § 30-12-1) allows recording of oral or electronic communications if one party consents. The MainStreet ED’s participation and consent make the recording lawful.
Media release: Since the recording was legally obtained, a media corporation may publish the transcript and audio.
Intent matters: The fact that the recording was made to protect the MainStreet organization per advise of the board and not for malicious purposes further supports its lawful nature.
No expectation of privacy: If the conversation occurred as a professional business discussion that strengthens the case for lawful disclosure.
The OCEDC Otero County Economic Development Council (OCEDC) Story
In the early 1980s, a group of visionary business leaders in Alamogordo founded the Otero County Economic Development Council (OCEDC), a nonprofit 501(c)(3) dedicated to growing the city’s economic base. For decades, OCEDC operated as a civic catalyst—bringing businesses like Sunbake Biscuits, 1-800 Flowers Call Center, Medlin Ramps, and Precheck to town, and helping pass one of New Mexico’s earliest Local Economic Development Act (LEDA) taxes.
OCEDC shared office space and staff with the Alamogordo Chamber of Commerce, a practical arrangement born of tight budgets and mutual goals. Payroll services were contracted via an agreement through the Chamber, with OCEDC submitting its own records to the chamber (labor hours and rate of pay) for processing.
Each entity maintained separate finances and contracts with the City of Alamogordo, which reimbursed them for distinct services rendered. There was no commingling of funds.
In 2021, OCEDC sold a 67-acre parcel of land adjacent to the Presto/Sunbake plant to Ultra Health for $169,000. These proceeds—private, not public—were later donated to Alamogordo MainStreet in 2023, shortly before OCEDC formally dissolved. The donation was a final gesture of civic support, not a transfer of government funds.
On May 10th, 2023 the OCEDC Board of Directors met and voted to dissolve and donate remaining funds to Alamogordo MainStreet.
OCEDC engaged an attorney, John Wheeler and Associates to properly dissolve the non-profit 501c3 organization. OCEDC engage a CPA, A.M. Atkins, CPA LLC, to properly close the books and file all required closing tax returns.
All required and known documents and debts were paid. On August 21, 2023 OCEDC money was deposited with John Wheeler and Associates trust fund to pay any unforeseen expenses that may arise after dissolution.
On August 21st, 2023 OCEDC donated $195,000 to Alamogordo MainStreet from the proceeds of the property sale and donations remaining from the dissolution.
Dissolution Process Before any assets can be distributed per New Mexico statute:
Approval usually requires a majority vote of the board of directors and compliance with the organization’s governing documents (bylaws or articles of incorporation)
Distribution of Remaining Funds
Once debts and obligations are resolved:
Funds cannot be distributed to members, directors, or officers for personal enrichment, consistent with federal 501(c)(3) rules that prohibit “excess benefit” transactions.
Funds must typically be transferred to another nonprofit organization with a similar charitable purpose. Courts generally allow the board to select an organization they consider aligned with the dissolving nonprofit’s mission.
Tax records and form 990 as required for 501C3’s can be found at for the OCEDC 850304073_202306_990PF_2023121922143373.pdf
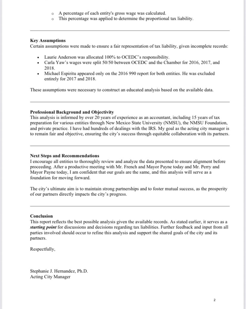
On 12/3/2024, the City of Alamogordo issued a notice: payroll taxes from 2016–2018 remained unpaid. The letter was submitted by the City manager based upon information provided to her from the chamber Executive Director of the chamber. The amount—initially estimated at $27,000—was linked to OCEDC’s use of the Chamber’s payroll system. The City requested immediate resolution and directed its demand to Alamogordo MainStreet, despite MainStreet having no operational or fiduciary ties to OCEDC beyond receiving the donation.

Jarrett Perry, Chamber Director, acknowledged that OCEDC had run payroll through the Chamber and that errors in tax filing had accumulated. He claimed the donation to MainStreet constituted a violation of New Mexico’s anti-donation clause, alleging it was taxpayer money. But this assertion was factually incorrect: the funds originated from a private land sale, not city coffers.
The Chamber and MainStreet scrambled to respond. Perry proposed a partial settlement—MainStreet would pay $27,000, and the Chamber would cover the rest. He warned that failure to comply could trigger legal action, reputational damage, and even involvement from the Attorney General.
As the deadline loomed the Alamogordo Chamber of Commerce board of directors met and after that meeting Mr. Perry asked for a one-on-one meeting with the Alamogordo MainStreet Executive Director Nolan Ojeda per sources. The board was unable to send a representative to the meeting with Nolan thus they instructed him to record the conversation given the sensitivity of the issue so there were no misunderstandings.
What follows is a link to that meeting recording and highlights of that conversation. There are about 10 minutes of the audio that are not business related and are of a personal basis and have been removed as a courtesy to the participants. The transcription of the audio is done by Descript software but further excerpts are below and responded to by a former board member of OCEDC…
Alamogordo Chamber and MainStreet Tax Meeting - Descript
Throughout the dialogue per representatives from both the city of Alamogordo and from the former OCEDC board several statements by the ED of the Chamber of Commerce were factually incorrect, misleading or totally false.
From the recording…
“OCEDC wasn’t doing taxes correctly and owes $27,000.”
FACT: OCEDC contracted the Chamber to perform the payroll services the ultimate tax bill and fees owed by OCEDC was 6552.83 and was paid on 3-7-25 via the trust from John D Wheeler.

“$27,000 is for MainStreet to Payoff the Chamber to pay the rest.”
Fact: MainStreet was a recipient of a legal donation from OCEDC and had no connection nor liability or responsibility for any tax liability. The liability was paid by the trust via John Wheeler.
Mr. Perry of the Chamber of Commerce was asked if he talked with Tom French since (Mr. French was the president of the OCEDC during its dissolution) he responded that he had not because it was “out of his lane now.”
Perry allegedly not understanding the finances of the OCEDC insisted that it was taxpayer money.
FACT: It was NOT taxpayer money but money from the sale of a plot of land.
Mr. Perry alleged to Mr. Ojeda that the donation to Alamogordo MainStreet was in violation of the law and the anti-donation clause. When in fact the applicable law is referenced above specific to 501c3 organizations.
Mr. Perry allegedly alluded to the fact that the chamber could technically go to court and get it all back the alleged $140,000 claiming the Chamber was the OCEDC though each were distinct separate entities the chamber a 501C6 and the OCEDC a 501c3 each filing independent federal tax returns and each operating with a unique board of directors for oversight.
Perry questions who’s complicit and questioned rather board approval was secured. As outlined above board approval and legal counsel was secured to ensure the dissolution and the donation to MainStreet was above board and perfectly legal.
Perry makes a comment that the city has the authority to cut funds from MainStreet if there is pressure, “of there were any time of complicity, that takes it to a whole another level.
Fact Alamogordo MainStreet was the recipient of a legal donation and managed it per board direction as the law allows.
Mr. Perry continued hammering home to the MainStreet ED alleged false accusations and even went as far as to claim things were “sketchy, sketchy, sketchy.”
Mr. Perry claimed that during the whole time they were using “our EIN Number”
Perry claimed the city had the tax issue in their path and that they were “demanding no ifs and buts that it be paid by MainStreet.”
Perry went on to allude the whole situation “won’t be good for Tom French.” Nolan suggested French could write a $27,000 check. Perry replied “they could but they are on this kick where they hate Alamogordo, the majority of them of course. When they left we picked up 25 businesses. You know haters will be haters.”
Fact rather the chamber picked up new members is undetermined based upon dialogue from other articles on how many current paid members they actually have. The French’s have shown a love for Alamogordo, donate to the community and have made a huge personal investment of their time and their own money into downtown revitalization, alley way improvements and the growth of Alamogordo’s housing market. The information Perry claims is absolutely false.
What follows is more documents from the city of Alamogordo that clears up the city perspective concerning the issue, and also an apology to Mr. French from the acting city manager, Stephanie Hernandez concerning the initial handling of this issue…



The information above confirms the facts that the debt owed by OCEDC far less then presented by the Alamogordo Chamber of Commerce to the Alamogordo MainStreet leadership.
It also confirms Alamogordo MainStreet is not on the hook and did nothing wrong in accepting the donation.
Furthermore, there is an apology from the acting city manager suggesting the first letter sent to MainStreet was based upon incomplete and inaccurate information provided to her regarding the issue.
Actual tax liability payment made by John Wheeler and Associates
IRS Tax liability data
IRS dataAlamogordoTownNews.org asked Mayor Susan Payne for a statement concerning this issue and her response was...
“I’ve been aware of this recording for some time however, it was not my story to tell. While no one is ever comfortable with the idea of a conversation being recorded, I have found throughout the years, that unfortunately sometimes it’s necessary in order to ensure that words are not twisted or manipulated. While one’s first reaction may be to believe that Mainstreet’s actions were wrong, I would hope that your readers would ask why Mainstreet felt they had to
We should all do things with a clear conscience. We’ve all made mistakes, but true remorse should come with an apology rather than victimhood”.
AlamogordoTownNews.org requested a comment from Alamogordo MainStreet. Their response is below...
"Our organization has continuously and intentionally chosen to move beyond this matter and focus on the positive progress taking place downtown. Rather, over the past year, our attention has been devoted to the MainStreet Makeover construction project and the many ways it will strengthen our district for years to come. We don’t believe one person’s actions define an entire organization, and we remain open to future collaboration with the Chamber of Commerce when it serves the greater good of Alamogordo. While we’re disappointed to see this issue revisited, our focus continues to be on partnership, progress, and the excitement of what’s ahead for our community."
Appreciate you reaching out for comment.
Respectfully, Nolan"

KALHRadio.org personality Anthony Lucero invites Mr Perry or a member of the board to jump on the phone with him for a public comment. We invite the phone conversation at +1 (575) 415-4671.
In closing, this chapter of an Alamogordo story which stands as a profound testament to the power of transparency—not as a weapon, but as a beacon that illuminates the path to genuine accountability and renewal
By confronting the echoes of misinformation and the weight of unspoken truths, we invite honest reflection from every corner of our community rather elected or appointed government officials or nonprofit leadership. High profile public leaders must examine their words and deeds, citizens must demand clarity without compromise, and institutions must rebuild on foundations of unassailable integrity.
Let this revelation and audio not divide us, but unite us in a shared commitment to ethical stewardship, where facts dispel shadows, apologies mend rifts, and collaborative vision propels us toward a brighter, more equitable future
For in the mirror of honest reflection, Alamogordo finds not its flaws alone, but the strength to rise renewed—transparent, resilient, and unbreakable and to become a model community that is stronger each and everyday.
three responses:
"I cannot accept your canon that we are to judge Pope and King unlike other men, with a favorable presumption that they do no wrong. If there is any presumption, it is the other way against holders of power...power tends to corrupt and absolute power corrupts absolutely." ~ Lord Acton
"Leave a dollar on the table, and every SOB will come out of the woodwork." a long dead attorney in longview, tx